Metalgost.ru :: Металлургические стандарты Бесплатный справочник государственных стандартов по металлургии, горному делу и машиностроению
Металлургические стандарты
 
Поиск ГОСТа по номеру:
ГОСТ

Обозначение:   ГОСТ 6012-98
Статус:   действующий
Название рус.:   Никель. Методы химико-атомно-эмиссионного спектрального анализа
Название англ.:   Nickel. Methods of chemical-atomic-emission spectral analysis
Дата актуализации текста:   19.01.2010
Дата актуализации описания:   19.01.2010
Дата введения в действие:   01.01.2000
Дата издания:   01.11.2001
Переиздание:   переиздание с поправками
Дата последнего изменения:   23.06.2009
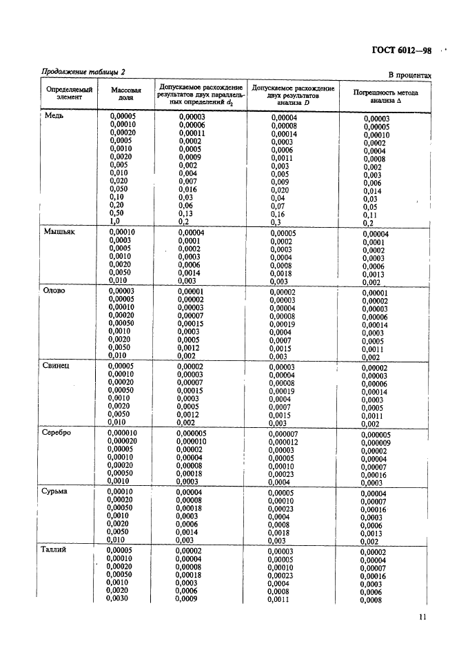
Область и условия применения:   Настоящий стандарт устанавливает химико-атомно-эмиссионные спектральные методы анализа с дугой постоянного тока и индуктивно связанной плазмой в качестве источников возбуждения спектра для определения массовых долей элементов в никеле, никелевом порошке и никелевых сплавах
Взамен:   ГОСТ 6012-78
Список изменений:   № 0 от 01.10.1999 (рег. 01.10.1999) «Дата введения перенесена»
№ 0 от 01.06.2000 (рег. 01.06.2000) «Дата введения перенесена»
№ 1 от 01.01.2003 (рег. 18.04.2002) «Текстовое изменение; Изменены ссылочные НД»
Приложение №1:   Изменение №1 к ГОСТ 6012-98
Приложение №2:   Поправка к ГОСТ 6012-98