Metalgost.ru :: Металлургические стандарты Бесплатный справочник государственных стандартов по металлургии, горному делу и машиностроению
Металлургические стандарты
 
Поиск ГОСТа по номеру:
ГОСТ

Обозначение:   ГОСТ 18465-73
Статус:   действующий
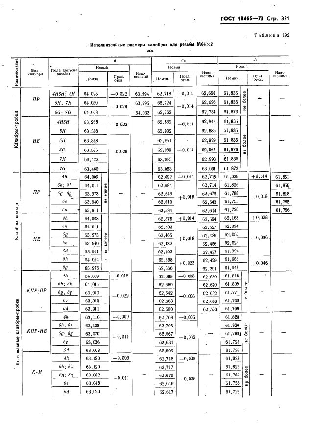
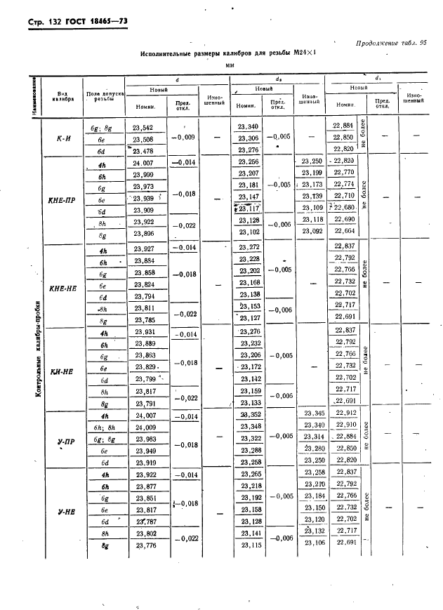
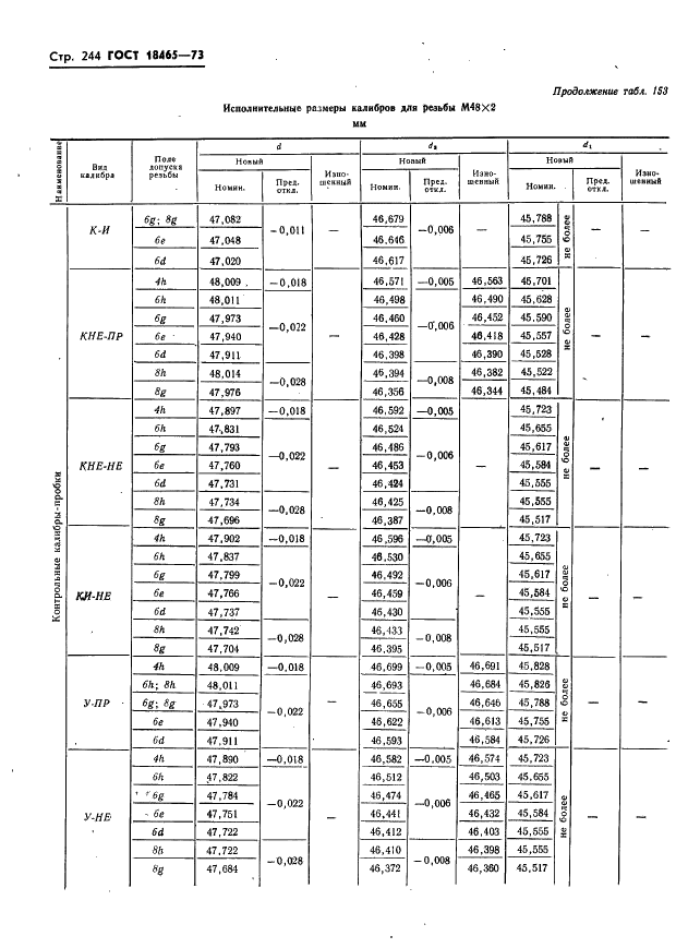
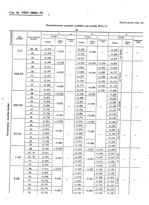
Название рус.:   Калибры для метрической резьбы от 1 до 68 мм. Исполнительные размеры
Название англ.:   Gauges for metric thread from 1 to 68 mm. Required dimensions
Дата актуализации текста:   19.01.2010
Дата актуализации описания:   19.01.2010
Дата введения в действие:   01.07.1973
Дата издания:   01.09.1983
Переиздание:   переиздание с изм. 1
Дата последнего изменения:   23.06.2009
Область и условия применения:   Настоящий стандарт распространяется на резьбовые калибры для метрической резьбы
Взамен:   МН 3915-62
Список изменений:   № 0 от 01.07.2003 (рег. 01.07.2003) «Дата введения перенесена»
№ 1 от 01.12.1974 (рег. 21.11.1974) «Срок действия продлен»
№ 2 от 01.07.1979 (рег. 12.03.1979) «Срок действия продлен»
№ 3 от 01.08.1983 (рег. 14.03.1983) «Срок действия продлен»
Приложение №1:   Поправка к ГОСТ 18465-73
Также входит в разделы:   ОКС - Общероссийский классификатор стандартов / Метрология и измерения. Физические явления / Линейные и угловые измерения / Измерительные приборы