Metalgost.ru :: Металлургические стандарты Бесплатный справочник государственных стандартов по металлургии, горному делу и машиностроению
Металлургические стандарты
 
Поиск ГОСТа по номеру:
ГОСТ

Обозначение:   ГОСТ 1577-93
Статус:   действующий
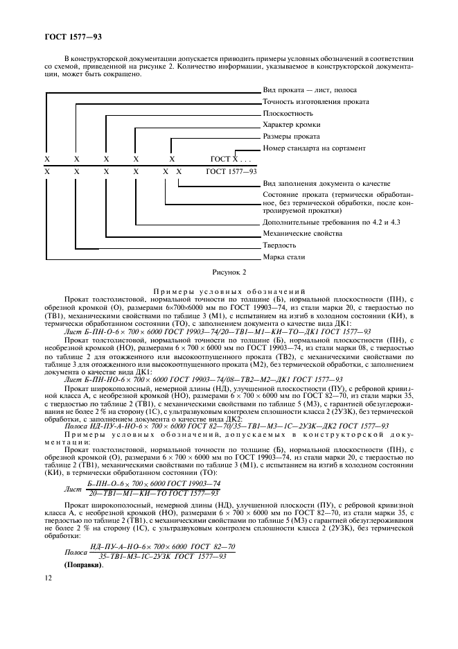
Название рус.:   Прокат толстолистовой и широкополосный из конструкционной качественной стали. Технические условия
Название англ.:   Rolled sheets and wide strips of structural quality steel. Specifications
Дата актуализации текста:   19.01.2010
Дата актуализации описания:   19.01.2010
Дата введения в действие:   01.01.1997
Дата издания:   01.01.2002
Переиздание:   переиздание с поправками
Дата последнего изменения:   23.06.2009
Область и условия применения:   Настоящий стандарт распространяется на прокат горячекатаный толстолистовой и широкополосный из качественной конструкционной нелегированной и легированной стали
Взамен:   ГОСТ 1577-81
Список изменений:   № 0 от 15.01.1999 (рег. 15.01.1999) «Дата введения перенесена»
№ 0 от 15.10.1999 (рег. 15.10.1999) «Дата введения перенесена»
№ 0 от 25.01.2007 (рег. 25.01.2007) «Дата введения перенесена»
Приложение №1:   Поправка к ГОСТ 1577-93